- РУС
- ТАТ
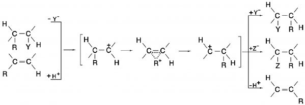
перестройка циклической части молекулы соединений терпенового ряда при реакциях присоединения, нуклеофильного замещения или элиминирования (отщепления)
Происходит миграция алкильной или арильной группы к соседнему атому углерода – катионному центру (камфеновая перегруппировка первого рода):
R = Н, алкильная или арильная группа; Y- = гидроксильная группа или анион сильной кислоты; Z- = анион растворителя. Оба атома углерода могут быть первичными, вторичными или третичными. Процесс происходит под действием протонных кислот или кислот Льюиса в растворах и расплавах, при нагревании или на холоде; приводит к расширению или сужению циклов, скорость возрастает с увеличением полярности растворителя. Реакция особенно характерна для бициклических терпенов, перегруппировка в ряду алициклических соединений протекает аналогично.
Открыта в 1899 году Е.Е.Вагнером и подробно изучена профессором Г.Л.Меервейном (1910–1927).
Используется в промышленности при получении камфары и некоторых душистых веществ.
Вацуро К.В., Мищенко Г.Л. Именные реакции в органической химии: Справочник. М.,1976.
Вы используете устаревшую версию браузера.
Для корректного отображения сайта обновите браузер.